Body Schematic Diagram

body schematic diagram
SPEEDI´s XL1000 bj 1985 (S. 9) - Milwaukee V-Twin - Harley ... body schematic diagram
RB25 Bare minimum to get running | Driftworks Forum body schematic diagram
IJMS | Free Full-Text | Cannabinoid Receptors and the ... body schematic diagram
Adductor canal _01,,#Anterior to femoral artery Saphenous ... body schematic diagram
How To Make a Simple Touch Switch Circuit - YouTube body schematic diagram
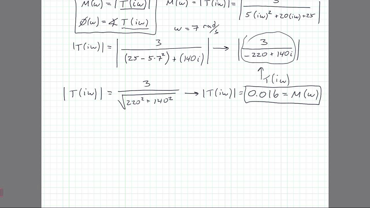
Steady State Displacement of a Mass-Spring-Damper System ... body schematic diagram
Getting Started in Sword Fighting – An Introduction – The ... body schematic diagram
Word of the Day: Axon body schematic diagram
Suction pipe Golf Mk2 GTI 16V KR body schematic diagram
How To Clean Idle Air Control Valve And Throttle Body On ... body schematic diagram
Anatomy of Heart | ClipArt ETC body schematic diagram
KASS Koi Pond Bottom Drain - YouTube body schematic diagram
Trailblazer, Clean Throttle Body, Electronic Throttle ... body schematic diagram
VW A4: New Beetle 1.8T AWP Side Coolant Flange (Std Tranny ... body schematic diagram
345HP 5.7 Gen 3 Hemi Crate Assembly 2016-2021 | Roseville ... body schematic diagram
Atomic absorption spectroscopy - Assignment Point body schematic diagram
mortice-lock – ITCC Locksmiths body schematic diagram
Ford Fiesta Mk6-Removing the Generic Electronic Module ... body schematic diagram
Smartphone-based blood pressure monitoring via the ... body schematic diagram

Body Schematic Diagram


Please create a FREE ACCOUNT to continue reading or download !

Start Your FREE Month!!